#2025年台州中考#
46人参与 35410浏览
-
2025台州各地中考录取分数线查询,市区各批次分数线全部来了
本帖会及时关注2025年台州中考的最新消息,及时关注 2025台州各地中考录取分数线查询、2025年台州中考分数查询 最新消息,并更新在本帖中的。有需要的可以先收藏本帖! 2025年台州市区中考分数线 2025年玉环中考分数线 2025年温岭中考分数线 2025临海中考录取分数线 2025天台中考分数线 2025仙居中考分数线 网传路桥实验600分以上310人,椒江二中620以上100个 台州市区
台州中考 2025-05-29 17:06255166 156
-
2025椒江洪家中学录取分数线|2025椒江洪家中学中考分数线
2025年台州市区普通高中第六批录取分数线已划定,现予以公布。 第四批第五批 洪家中学创办于1956年,已有60年历史,是一所具有现代化气息的省级特色普通高中。学校坐落在台州市中心城区——椒江区南大门。学校整体布局合理,环境幽雅,绿树常青,花坛四季芬芳,草坪绿意盈盈,是修身求知的理想场所。加油吧!家长和同学们最关心的2025椒江洪家中学录取分数线的问题,我们也会及时关注并更新到这个帖子中的,如果您
台州中考 2025-05-30 14:2318074 2
-
2025台州中学录取分数线|2025台州中学中考分数线
2025台州中学录取分数线|2025台州中学中考分数线 若最后一名总分相同时,则以语、数、英、科四科成绩之和,高者录取;若最后一名再出现分数相同时,则以语、数、英三科成绩之和,高者录取;若最后一名再出现分数相同时,则以语、数两科成绩之和,高者录取;若最后一名再出现分数相同时,则以语文成绩为准,高者录取。
台州中考 2025-07-02 09:135990 0
-
2025黄岩中考录取分数线 黄岩普通高中最低录取分数线是多少
第四批第五批2025年台州市区普通高中第六批录取分数线已划定,现予以公布。 还有不到一个月的时间就是2025年台州中考了,参加中考的同学们要加油了!大家关心的2025年黄岩中考普通高中的录取分数线,我们会及时关注并更新在这个帖子里的。 大家可以收藏本帖,到时候台州19楼将会在本帖及时更新台州各地高中录取分数线情况,请各位台州的家长们随时关注,谢谢! 可以先回顾下2024年的分数线2024年台州市区
台州中考 2025-06-09 17:2723007 1
-
书生
你们都是几分被书生自费进的感觉今年生源好差
你是大概率 2025-07-14 21:349055 6
-
2025椒江中考成绩查询
2025年台州市中考成绩7月1日公布,现将2025年台州市中考成绩查询操作方法和市区普通高中录取进程发布如下: 1、2025年台州市中考成绩查询操作方法查询方法一“浙里办”APP查询01下载注册“浙里办”APP 02进入“学在台州”服务号 在“浙里办”APP首页的搜索框内输入“学在台州”,点击搜索;在搜索结果里选择“学在台州”,进入服务号; 03点击该页面的【中考查分】; 04在出现的页面中输入考
台州中考 2025-06-06 16:4812655 0
-
2025台州市第一中学录取分数线|2025台州一中中考分数线
第四批 第五批 紧张的2025台州中考要开始了,想要考入台州市第一中学的同学们可以关注本帖,你们最关心的2025台州市第一中学录取分数线的问题,我们会及时更新到本帖哦的。有关于择校还有考试的相关问题,大家可以到讲白搭或者教育板块跟大家一起讨论,咨询哦~ 可以先回顾下2024年的分数线2024年台州市区分数线 2024年路桥中等职业技术学校分数线 2024年黄岩第一职业技术学校分数线 2024年黄
台州中考 2025-05-29 17:0015695 0
-
2025台州市实验中学录取分数线多少|2025台州实验中学中考分数线
2025年台州市区普通高中第六批录取分数线已划定,现予以公布。 第七批 第二批第三批第四批第五批 台州市实验中学创建于1997年7月,是台州市教育局直属中学,学校位于开发区东海大道,东毗市中心医院,西临市高教园区和市体育中心。学校先后荣赝浙江省三级重点中学、浙江省一级优秀民办中学、浙江省体育先进学校,台州市安全文明校园、台州市绿色学校等十多项荣誉。关于2025台州市实验中学录取分数线问题,台州19
台州中考 2025-05-30 14:1812136 0
-
2025路桥金清中学录取分数线|2025金清中学中考分数线
2025年台州市区普通高中第六批录取分数线已划定,现予以公布。 第七批 第二批第三批第四批第五批 金清中学创办于1956年8月。学校位于美丽的东海之滨、浙江省中心镇、路桥区次中心——金清镇,占地面积110亩,校园环境优美,被台州市政府评为“花园式单位”。2003年1月,省教育厅核准我校为省二级重点综合高中。想要考取路桥金清中学的考生和家长们要注意了,我们将为大家整理2025路桥金清中学中考录取分数
台州中考 2025-05-30 14:1919235 0
-
2025路桥中考录取分数线 路桥普通高中最低录取分数线是多少
2025台州中考椒江黄岩路桥中考录取分数线第三批第四批第五批2025年台州市区普通高中第六批录取分数线已划定,现予以公布。 第七批 还有不到一个月的时间就是2025年台州中考了,参加中考的同学们要加油了!大家关心的2025年路桥中考普通高中的录取分数线,我们会及时关注并更新在这个帖子里的。 大家可以收藏本帖,到时候台州19楼将会在本帖及时更新台州各地高中录取分数线情况,请各位台州的家长们随时关注,
台州中考 2025-05-28 16:4916972 0
-
2025路桥中考成绩查询
2025年台州市中考成绩7月1日公布,现将2025年台州市中考成绩查询操作方法和市区普通高中录取进程发布如下: 1、2025年台州市中考成绩查询操作方法查询方法一“浙里办”APP查询01下载注册“浙里办”APP 02进入“学在台州”服务号 在“浙里办”APP首页的搜索框内输入“学在台州”,点击搜索;在搜索结果里选择“学在台州”,进入服务号; 03点击该页面的【中考查分】; 04在出现的页面中输入考
台州中考 2025-06-06 16:4612264 0
-
招生333人!台州发布2025年中职与本科一体化人才培养试点
近日,台州市教育局印发《关于做好2025年中职与本科一体化人才培养试点招生工作的通知》,现将主要内容发布如下: 一、总体要求 以服务学生全面发展和适应经济社会发展需求为导向,改革职业教育考试招生制度,坚持一体化培养的原则,通过中等职业学校3年教育与本科院校4年教育的一体化人才培养模式,实行中等职业教育与本科相贯通的长学制人才培养,为社会输送具有良好职业素养、专业知识和专业能力的高素质技术技能人才
花心小饼 2025-05-28 09:0013972 8
-
2025椒江中考录取分数线 椒江普通高中最低录取分数线是多少
2025台州中考椒江黄岩路桥中考录取分数线第三批第四批第五批2025年台州市区普通高中第六批录取分数线已划定,现予以公布。 第七批 2025年台州中考即将到来,参加中考的同学们要加油了。大家关心的2025年椒江中考普通高中的录取分数线,我们会及时关注并更新在这个帖子里的。 大家可以收藏本帖,到时候台州19楼将会在本帖及时更新台州各地高中录取分数线情况,请各位台州的家长们随时关注,谢谢! 可以先回顾
台州中考 2025-05-28 16:5025680 0
-
2025椒江职业中专录取分数
椒江二职分数线报名时间:2025年7月1日13:30 - 16:00 椒江一职招生计划截止7月2日早上八点,网上报名 不要担心,不要害怕,只要你真的努力奋斗了,一定会得到一个好的成绩的,放宽心就好。想要考入椒江职业中专的同学们可以关注本帖,你们最关心的2025台州市椒江职业中专录取分数线的问题,我们会及时更新到本帖哦的。有关于择校还有考试的相关问题,大家可以到讲白搭或者教育板块跟大家一起讨论 可以
台州中考 2025-06-06 16:4415783 0
-
2025玉环中考成绩查询
2025年台州市中考成绩7月1日公布,现将2025年台州市中考成绩查询操作方法和市区普通高中录取进程发布如下: 1、2025年台州市中考成绩查询操作方法查询方法一“浙里办”APP查询01下载注册“浙里办”APP 02进入“学在台州”服务号 在“浙里办”APP首页的搜索框内输入“学在台州”,点击搜索;在搜索结果里选择“学在台州”,进入服务号; 03点击该页面的【中考查分】; 04在出现的页面中输入考
台州中考 2025-06-06 16:4513471 1
-
2025温岭中考成绩查询
2025年台州市中考成绩7月1日公布,现将2025年台州市中考成绩查询操作方法和市区普通高中录取进程发布如下: 1、2025年台州市中考成绩查询操作方法查询方法一“浙里办”APP查询01下载注册“浙里办”APP 02进入“学在台州”服务号 在“浙里办”APP首页的搜索框内输入“学在台州”,点击搜索;在搜索结果里选择“学在台州”,进入服务号; 03点击该页面的【中考查分】; 04在出现的页面中输入考
台州中考 2025-06-06 16:4913951 0
-
2025年北师大台州附中中考录取分数线
第四批第五批 本帖会及时关注2025年北师大台州附中面向各县市区的中考录取分数线最新消息,并及时更新到本帖中。 北京师范大学台州附属高级中学,是台州市人民政府与北京师范大学共同举办,市政府全额投资、全力打造台州市唯一一所直属台州市教育局管理的公办普通高中。学校已于2016年8月15日正式开学,面向全市招收了首批368名高一新生,实施小班化教学学校位于黄岩区江口街道德俭路518号,依山傍水、环境优
台州中考 2025-05-30 14:1717185 0
-
2025台州市外国语学校录取分数线|台州外国语学校中考分数线
2025年台州市区普通高中第六批录取分数线已划定,现予以公布。 第四批第五批 紧张的2025台州中考即将开始,想要考入台州市外国语学校的同学们可以关注本帖,你们最关心的2025台州市外国语学校录取分数线的问题,我们会及时更新到本帖哦的。有关于择校还有考试的相关问题,大家可以到讲白搭或者教育板块跟大家一起讨论,咨询哦~ 可以先回顾下2024年的分数线 2024年台州市区分数线 2024年路桥中等职业
台州中考 2025-05-30 14:2111841 0
-
2025台州市书生中学录取分数线多少|2025书生中学中考分数线
2025年台州市区普通高中第六批录取分数线已划定,现予以公布。 第七批 第二批第三批第四批第五批 想要考入台州市书生中学的同学们可以关注本帖,你们最关心的2025台州市书生中学录取分数线的问题,我们会及时更新到本帖哦的。有关于择校还有考试的相关问题,大家可以到讲白搭或者教育板块跟大家一起讨论,咨询哦~ 可以先回顾下2024年的分数线2024年台州市区分数线 ----------2025台州中考相关
台州中考 2025-05-29 17:0214436 0
-
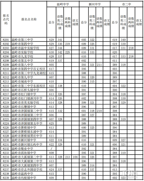
2025温岭中考录取分数线 温岭普通高中最低录取分数线是多少
2025年温岭市中考录取分数线温岭中学、新河中学、市二中分配分数线 其他学校(专业)统招录取分数线 2025年台州中考即将到来,参加中考的同学们要加油了。大家关心的2025年温岭中考普通高中的录取分数线,我们会及时关注并更新在这个帖子里的。 大家可以收藏本帖,到时候台州19楼将会在本帖及时更新台州各地高中录取分数线情况,请各位台州的家长们随时关注,谢谢! 可以先回顾下2024年的分数线2024年温
台州中考 2025-05-28 16:4825156 0
标签简介
大家都在讨论"2025年台州中考"赶紧来看看吧~



