#台州新冠肺炎疫情最新动态#
166人参与 74052浏览
-
嘉兴新增1例本土无症状感染者,已排查到15331人,检测均为阴性
11月3日0-24时,浙江新增无症状感染者3例,其中嘉兴市1例(为外省确诊病例密接人员)、境外输入2例(均为喀麦隆输入),已排查密切接触者均已实施集中隔离。无新增确诊病例。截至3日24时,累计报告确诊病例1496例(境外输入病例276例)。 截至4日上午9时30分 嘉兴排查到15331人 核酸检测结果均为阴性 11月4日,嘉兴市人民政府举行新闻发布会通报桐乡一外来核酸检测阳性人员相关情况。 发布会
台州消息 2021-11-04 14:184297 0
-
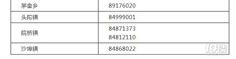
仙居关于寻找次密切接触者的通告
关于寻找次密切接触者的通告 2021年11月3日晚,我县接到嘉兴市协查通报,一例新冠肺炎核酸检测阳性病例的密切接触者现在我县。该密切接触者于11月2日到我县旅游,11月3日晚纳入管控。 根据新型冠状病毒防控方案(第八版)要求,我县第一时间启动应急响应,组织县卫健、公安等部门以及相关乡镇(街道)全面排查,截至目前,该密接者及在我县的次密切接触者68人,均已落实核酸检测及隔离管控,相关重点场所环境已全
17918607 2021-11-04 11:027577 0
-
7个方面!刚刚,台州疾控发布健康提醒
10月以来,我国多个省份连续发生境外输入引起的本土聚集性疫情,截至11月2日累计报告692例,11月2日全国单日新增感染者数量突破100例;11月3日,河南郑州、四川成都、江苏常州和重庆等地相继报告发现本土确诊病例和无症状感染者,疫情防控形势严峻。为严防疫情输入,保护我市人民群众生命安全和身体健康,台州疾控提醒: 一、及时主动申报 有疫情发生地区所在设区市(直辖市为区)旅居史来(返)台人员,要立即
台州消息 2021-11-04 07:583346 0
-
嘉兴桐乡通报一外来核酸检测阳性人员活动轨迹|疾控中心防控提醒
(来源:健康浙江、桐乡发布)
台州消息 2021-11-04 08:283268 0
-
省疾控中心发布新冠疫情防控提醒
台州消息 2021-11-03 18:453770 0
-
温州发现一密接者,曾在这家店吃饭!涉及疫情,杭州2人被行拘
突发!温州又一密接者!曾在这家店吃饭 关于寻找新冠肺炎病例次密切接触者的 通告(第1号) 2021年11月1日凌晨,经开区疾控中心接到通报:江西省报告一例新冠肺炎阳性检出者,天河街道有1人与其有接触史,判定为密切接触者。截至目前,该密切接触者已在经开区集中隔离医学观察点隔离,首次核酸检测结果为阴性。该密切接触者在天河街道多地活动,以下为其10月31日的活动轨迹详情: 10月31日15:14,乘坐G
小石仔 2021-11-02 13:422685 0
-
最新!台州一地昨新增医学观察151人!立即主动报备
黄岩10月31日集中隔离新增医学观察151人 10月31日0时一24时,我区集中隔离点新增医学观察151人。7月以来,集中隔离点累计医学观察1684人,目前正在集中隔离点医学观察224人。 黄岩区新型冠状病毒感染的肺炎疫情防控指挥部2021年11月1日 黄岩区新冠肺炎疫情防控办紧急提醒 为有效防范疫情输入风险,切实做好我区疫情防控工作,黄岩区疫情防控办发布紧急提醒,这些来黄返黄人员,请立即报备!如
台州消息 2021-11-02 09:263818 0
-
浙江多地通报确诊病例密接者,西塘景区暂时关闭
浙江昨日新增确诊病例9例 10月31日0-24时,新增确诊病例9例,其中杭州市1例(为邻省市途经杭州列车按照协查通报截下的上饶确诊病例密接人员)、境外输入8例(均为之前境外输入的无症状感染者转确诊),新增无症状感染者2例(其中墨西哥输入1例,英国输入1例),已排查密切接触者均已实施集中隔离。截至31日24时,累计报告确诊病例1492例(境外输入病例272例)。 嘉善昨日通报3名密接者, 轨迹涉及西
台州消息 2021-11-01 14:393687 0
-
李跃旗:全面紧起来严起来实起来 坚决守住守牢“台州防线”
(来源:台州发布)
台州消息 2021-11-01 09:283845 0
-
杭州全域为低风险地区!509人已落实管控
10月31日下午,市政府新闻办举行杭州市新型冠状病毒肺炎疫情防控工作新闻发布会,通报一例过境杭州列车截下人员核酸检测阳性的相关情况。 情况通报 10月31日上午,我市从省外过境杭州列车截下人员中,检出一例新冠病毒核酸阳性。现将有关情况通报如下: 占某某(女),工作单位及住址在江西省上饶市铅山县。10月29日,占某某与同事杨某某(女)一同乘坐G1382列车从上饶到上海,座位号为5车厢03A、03B。
台州消息 2021-11-01 09:362538 0
-
上海迪士尼紧急关闭!亲历者发声、烟花下的核酸检测现场刷屏..
昨天(10月31日)傍晚18时许 上海迪士尼度假区官方微博发布通知称 为配合新冠肺炎疫情流行病学调查 上海迪士尼乐园和迪士尼小镇 从即刻起停止游客进入 已在乐园的游客在离园时 需要在出口处接受核酸检测 相关话题冲上热搜榜前列 ↓ 上海迪士尼:11月1日和2日暂时关闭 当天晚上21时许,上海迪士尼度假区官方微博再次发布消息称,根据疫情防控要求,上海迪士尼乐园和迪士尼小镇将于11月1日和2日(周一和周
梓气东来 2021-11-01 08:286986 0
-
关于在箬横镇下朱村开展全员核酸检测应急演练的公告
(来源:温岭发布)
花心小饼 2021-11-01 08:342929 0
-
紧急寻人!浙江发现一密接者,曾在商场吃饭
关于寻找新冠肺炎病例次密切接触者的通告(第22号)2021年10月26日,龙湾区疾控中心接到通报:山东省日照市一居民为新冠肺炎确诊病人。浙南产业集聚区(经开区)有1人与其有接触史,判定为密切接触者。截至目前,该密切接触者已在浙南产业集聚区(经开区)集中隔离医学观察点隔离,首次核酸检测结果为阴性。因该密切接触者在龙湾区多地活动,以下为其10月24日至10月26日期间活动轨迹详情: 10月24日22点
格格的 2021-10-27 11:186230 0
-
刚刚!台州疾控发布紧急提醒:这些人员,速报备!
10月17日0时-10月18日7时,陕西省新增报告6例本土确诊病例、1例本土无症状感染者,7人为共同出游人员;18日上午,宁夏银川市通报新增1例确诊病例,系该自驾团成员。为持续做好我市疫情防控工作,切实降低疫情传播风险,台州市疾控中心发布重要提醒如下: 一、对有陕西西安市,宁夏银川市,内蒙古阿拉善盟,甘肃张掖市、酒泉市、嘉峪关市旅居史,且与阳性病例行程轨迹有交集的来(返)台人员,实施“14+7”健
台州消息 2021-10-19 09:354911 0
-
浙江昨天新增境外输入无症状感染者2例|全国中高风险地区清零
10月14日0-24时,浙江新增无症状感染者2例(其中荷兰输入1例,格鲁吉亚输入1例),已排查密切接触者均已实施集中隔离。无新增确诊病例。截至14日24时,累计报告确诊病例1454例(境外输入病例235例)。 (来源:浙江省卫生健康委)
台州消息 2021-10-15 09:303758 0
-
刚刚通报:阳性!停工停课停业!
10月13日0—24时,31个省(自治区、直辖市)和新疆生产建设兵团报告新增确诊病例21例。其中新增境外输入病例20例,含2例由无症状感染者转为确诊病例;新增本土病例1例(在内蒙古锡林郭勒盟)。无新增死亡病例。无新增疑似病例。 浙江新增1+8均为境外输入 10月13日0-24时,新增确诊病例1例(为之前尼日尔输入的无症状感染者转确诊),新增无症状感染者8例(其中德国输入2例,坦桑尼亚输入2例,日本
台州消息 2021-10-14 16:464669 0
-
国庆出行需要测核酸吗?打这个电话问问
国庆假期有出行计划的朋友们 注意啦~ 近日福建和黑龙江等地出现疫情 想知道出行政策 有没有新变化? 别担心! 国务院客户端小程序 为你准备了 【疫情防控咨询电话本】 这里收纳31个省(自治区、直辖市) 和新疆生产建设兵团联防联控机制提供的 各地疫情防控政策咨询电话 供你一键查询,一键拨打! 想要快速、准确了解目的地的 最新防控政策 就用它 ▼ 小编手把手教学来啦~↓↓↓ (来源:无限台州app、中
一棵松树 2021-09-29 09:004564 0
-
浙江昨天新增确诊病例1例(境外输入)
9月26日0-24时,浙江新增确诊病例1例(为之前墨西哥输入的无症状感染者转确诊),已排查密切接触者均已实施集中隔离。截至26日24时,累计报告确诊病例1447例(境外输入病例228例)。 (来源:浙江省卫生健康委)
台州消息 2021-09-27 11:231568 0
-
新增本土确诊49例!浙江一地启动全市中小学生核酸抽检!
9月15日0—24时,31个省(自治区、直辖市)和新疆生产建设兵团报告新增确诊病例80例。其中本土病例49例(福建48例,其中莆田市38例、厦门市8例、泉州市2例;云南1例,在德宏傣族景颇族自治州),含9例由无症状感染者转为确诊病例(均在福建)。新增无症状感染者13例(均为境外输入)。 福建泉州新增2个中风险地区 记者从泉州市防控新型冠状病毒感染的肺炎疫情应急指挥部办公室了解到:14日起,泉港区界
台州消息 2021-09-16 11:108168 0
-
台州5地发布最新通告!
就在昨天(14日),椒江、黄岩、路桥、温岭、仙居相继发布最新疫情防控通告。 另外,关于什么是居家健康观察要求?什么是日常健康监测要求?路桥明确了,来看详细。 椒江 关于做好近期疫情防控工作的通告(第11号) 9月14日,福建召开新闻发布会介绍疫情防控最新情况。据通报,9月10日至9月14日8时,福建省累计报告本土阳性感染者139例,其中确诊病例120例(莆田市75例、泉州市12例、厦门市33例),
十六亩田 2021-09-15 08:553814 0
标签简介
大家都在讨论"台州新冠肺炎疫情最新动态"赶紧来看看吧~



